首页
政府信息公开
互动交流
办事服务
环境数据
长者版
|
无障碍服务
|
|
繁体
|
EN
|
|
首页
政府信息公开
互动交流
办事服务
环境数据
搜索
热门搜索:
当前位置:
首页
>
政府信息公开
>
法定主动公开内容
>
生态环境
>
污染防治
>
机动车环境管理
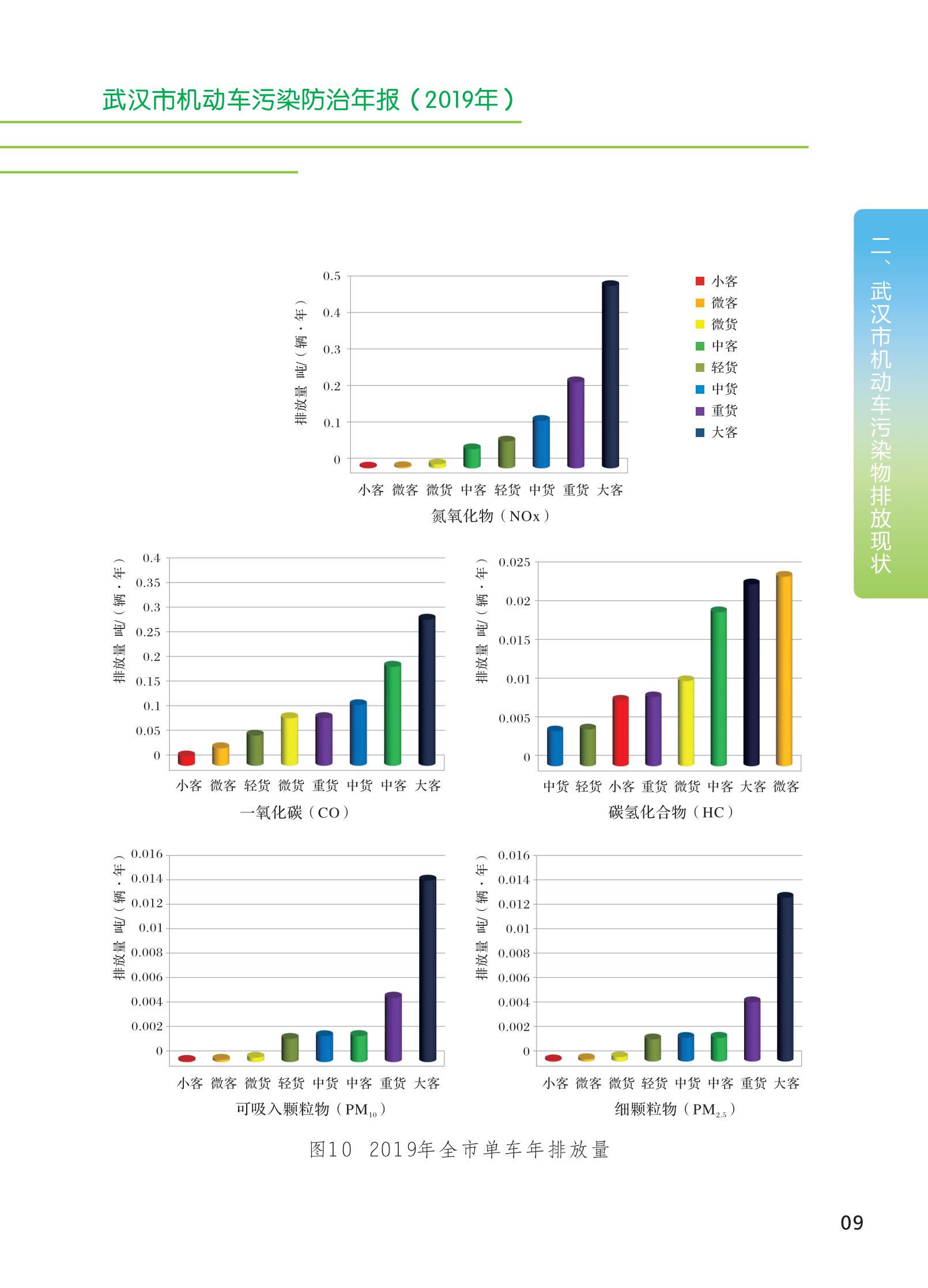
2019年武汉市机动车污染防治年报
发布时间:2020-10-29 08:30
|
来源:武汉市生态环境局
索 引 号:
731074791/2020-899854
分     类:
城乡建设、环境保护
发布机构:
武汉市生态环境局
成文日期:
2020-10-29 08:30
文   号:
无
发布日期:
2020-10-29 08:30
效力状态:
有效
【 打印 】
【 扫一扫 】
【 收藏 】
分享到:
文件下载:
2019年武汉市机动车污染防治年报
×
您访问的链接即将离开“
武汉市生态环境局
”门户网站
是否继续?
1484453
2019年武汉市机动车污染防治年报
20
2020-10-29
13890
机动车环境管理